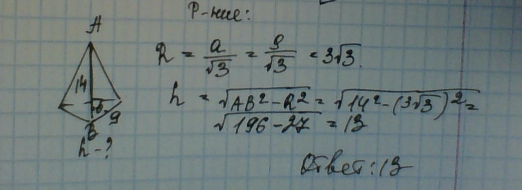
Дана правильная треугольная пирамида. сторона основания равна 9, боковое ребро 14
найдите высоту
ОЧЕНЬ СРОЧНО!!!
Ответы
Ответ дал:
1
Решение во вложении см.
Приложения:

Вас заинтересует
2 года назад
2 года назад
2 года назад
2 года назад
7 лет назад
8 лет назад