• Предмет: Математика
  • Автор: daniya951
  • Вопрос задан 3 года назад

Даю 30 баллов
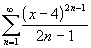
Найти область сходимости ряда

Приложения:

Ответы

Ответ дал: NNNLLL54
1
\Sigma  _{n=1}^{\infty}\, \frac{(x-4)^{2n-1}}{2n-1}=\Sigma _{n=1}^{\infty}\, u_{n}\\\\u_{n+1}=\frac{(x-4)^{2n+1}}{2n+1}\\\\lim_{n\to \infty }\frac{|u_{n+1}|}{|u_{n}|}=lim_{n\to \infty}\frac{|x-4|^{2n+1}\cdot (2n-1)}{(2n+1)\cdot |x-4|^{2n-1}}=|x-4|^2\ \textless \ 1\\\\(x-4)^2-1\ \textless \ 0\\\\(x-4-1)(x-4+1)\ \textless \ 0\\\\(x-5)(x-3)\ \textless \ 0\\\\x\in (3,5)\\\\x=5:\; \Sigma _{n=1}^{\infty }\frac{1}{2n-1}\; -\; rasxoditsya

x=3:\; \Sigma _{n=1}^{\infty }\frac{(-1)^{2n-1}}{2n-1}=\Sigma _{n\1}^{\infty }\frac{-1}{2n-1}\; -\; \; rasxoditsya\\\\x\in( 3,5)
Вас заинтересует