Ответы
Ответ дал:
0
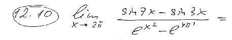
правило Лопиталя. Производная числителя = 7cos 7x-3cos3x,
знаменателя 2x*e^(x^2)
исходный предел (из условия) равен lim (x⇒2π) (7cos7x-3cos3x)/(2x*e^(x^2))=
= (7cos14π-3cos 6π)/(2*2π*e^4π^2)=(7*1-3*1)/(4πe^(4π^2))=
= 4/4πe^(4π^2)=1/πe^(4π^2)
знаменателя 2x*e^(x^2)
исходный предел (из условия) равен lim (x⇒2π) (7cos7x-3cos3x)/(2x*e^(x^2))=
= (7cos14π-3cos 6π)/(2*2π*e^4π^2)=(7*1-3*1)/(4πe^(4π^2))=
= 4/4πe^(4π^2)=1/πe^(4π^2)
Вас заинтересует
2 года назад
2 года назад
2 года назад
2 года назад
7 лет назад
7 лет назад