Ответы
Ответ дал:
1
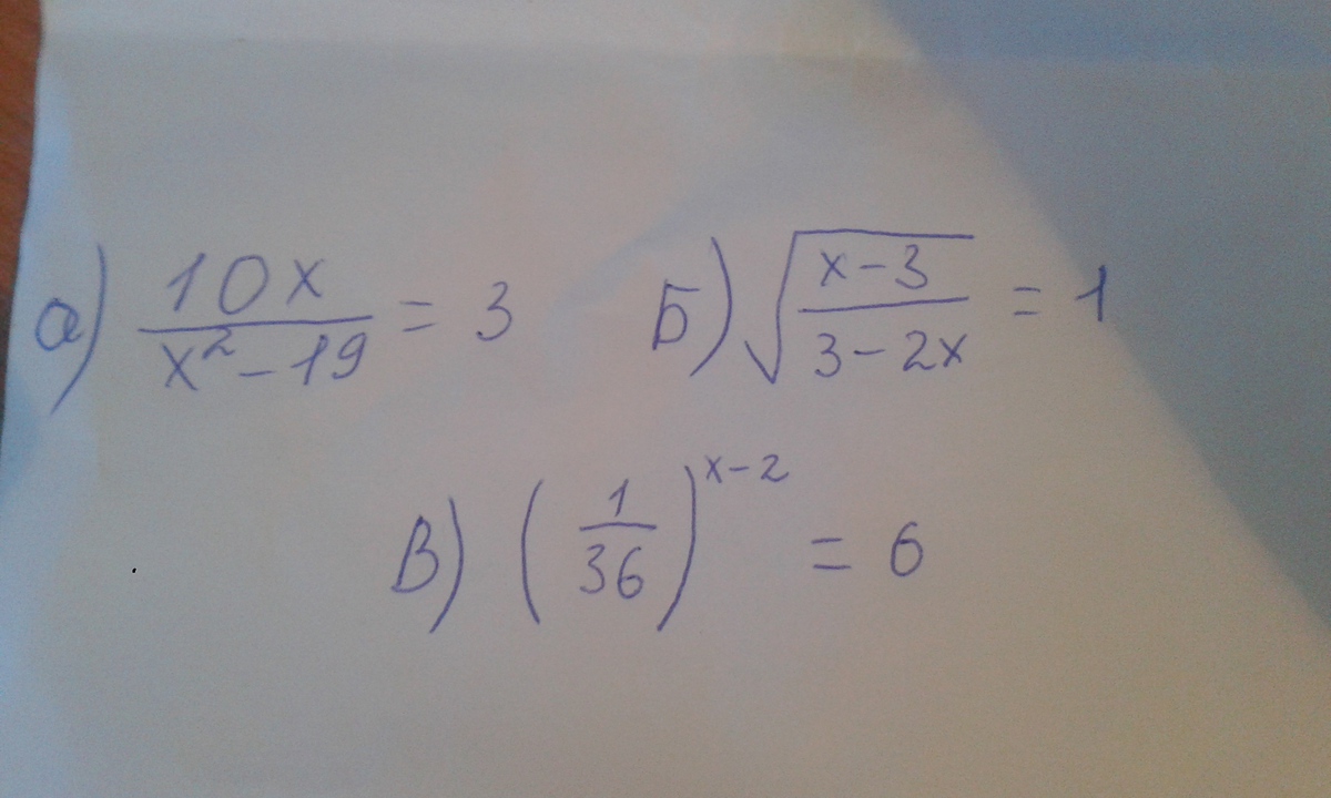
10х/ x^{2} -19=3 приведя к общему знаменателю получим
3х^2-10x-57=0
дискриминант равен 100+4*3*57=784
х=(10+28)/6=6 (1/3)
х= (10-28)/6= -3
(х-3)/(3-2х) =1
х-3=3-2х
3х=6
х=2
(1/36)^(x-2)=6
x-2= - 1/2
x = 2-1/2
x=1 (1/2)
3х^2-10x-57=0
дискриминант равен 100+4*3*57=784
х=(10+28)/6=6 (1/3)
х= (10-28)/6= -3
(х-3)/(3-2х) =1
х-3=3-2х
3х=6
х=2
(1/36)^(x-2)=6
x-2= - 1/2
x = 2-1/2
x=1 (1/2)
fedya3:
помог спасибо
Вас заинтересует
2 года назад
2 года назад
2 года назад
7 лет назад
7 лет назад
9 лет назад