• Предмет: Алгебра
  • Автор: УченикЛадушка7
  • Вопрос задан 3 года назад

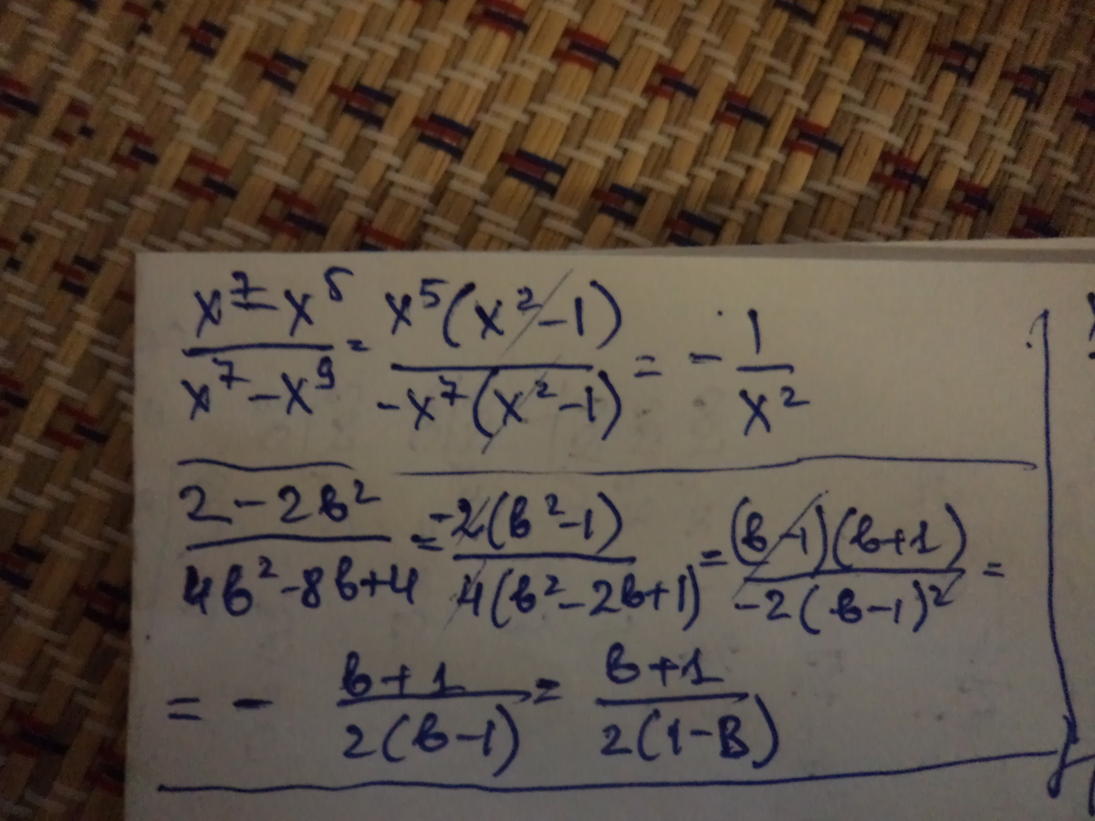
Сократите дробь
1)х7-х5\х7-х9.
2)2-2b2\4b2-8b+4
3)x3-3x2+2x-6\x3-27
ОЧЕНЬ СРОЧНО!!!!!!

Ответы

Ответ дал: амир24
1
1) х^5*(х^2-1):х^7*(1-х^2)=х^2-1:х^2*(1-х^2
2)
Ответ дал: Mydrый
11
решение во вложенииииииииииииииииииииииииииииии
Приложения:

УченикЛадушка7: Большое вам спасибо)
Вас заинтересует