• Предмет: Информатика
  • Автор: xxxxxxxx7xx3
  • Вопрос задан 3 года назад

Дана программа паскаль, я составил блок схему, но препод сказал что ее необходимо сократить через модификацию или как то так, помогите
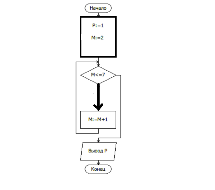
program proizv;
var p:real;
m:integer;

begin
p:=1;
for m:=2 to 7 do
p:=p*(cos(2*m)+sin(5*m));
writeln (p);
end.

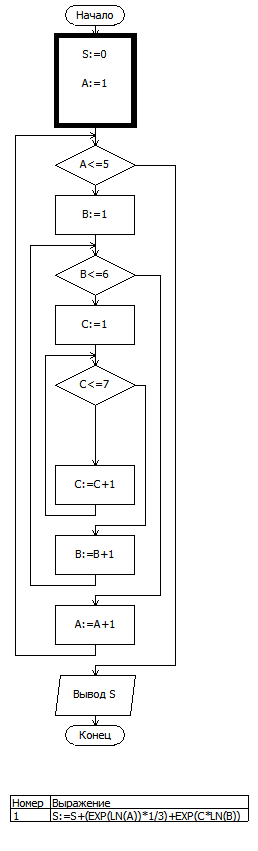
program sum;
var s:real;
a,b,c:integer;

begin
s:=0;
for a:=1 to 5 do
for b:=1 to 6 do
for c:=1 to 7 do
s:=s+(exp(ln(a))*1/3)+exp(c*ln(b));
writeln (s);
end.


program sistema;
const a=20.3;
var f,n,k,h,x:real;

begin
readln (n,k,h);
x:=n;
repeat
begin
if x<=1 then f:=ln(x+1) else f:=sqr(sin(sqrt(a*x)));
writeln ('x=',x:4:1,' ','f=',f:4:3);
x:=x+h;
end;
until x>k+0.1
end.

ВОТ ДЛЯ ЭТИХ ПРОГРАММ


Аноним: Хм.... "сократить через модификацию или как то так"... это называется гораздо проще: "Пойди туда, не знаю куда"

Ответы

Ответ дал: школьник2803
1
Сделай тогда что-то типа такого...
Приложения:

школьник2803: Попробуй цикл в одну сделать..
школьник2803: и вводимые данные в одном прямоугольнике
xxxxxxxx7xx3: ахах чувак, я через программу делал блок схему, поэтому что ты говоришь я не понимаю))
xxxxxxxx7xx3: Спасибо, попробую, а можешь и для других сделать?
школьник2803: попробую
xxxxxxxx7xx3: Спасибо Заранее
школьник2803: третью не знаю как сделать =(
xxxxxxxx7xx3: вот я 3 тоже ни как не могу
школьник2803: тебе срочно надо?
xxxxxxxx7xx3: до 9 30 примерно завтра
Вас заинтересует