• Предмет: Алгебра
  • Автор: superekateruna
  • Вопрос задан 3 года назад

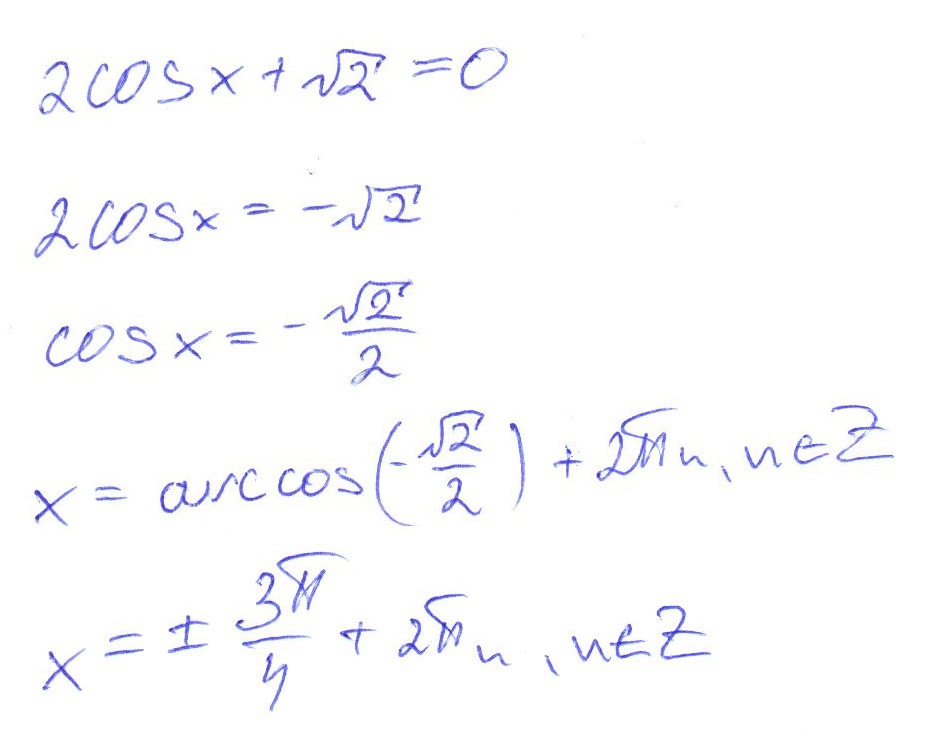
2cosx+корень из 2=0 решити пожалуйста

Ответы

Ответ дал: NiGhtWolFs
10
Решение на фото...

x=б \frac{3 \pi }{4} +2 \pi n, n∈Z
Приложения:
Вас заинтересует