• Предмет: Алгебра
  • Автор: KerolaynWolf
  • Вопрос задан 2 года назад

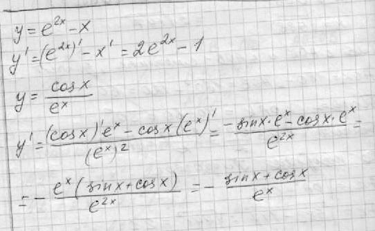
Найдите производные!!!Очень надо!!!
1) y=e^2x-x
2) y=cosx/e^x
Пожалуйста....

Ответы

Ответ дал: математик2011
1
На здоровье!!!!!!!!!!!!!!!!!!!!!!!!!!!!!
Приложения:

KerolaynWolf: Спасибо большое!!!
Вас заинтересует