• Предмет: Алгебра
  • Автор: StarLordRUS
  • Вопрос задан 11 лет назад

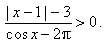
Найдите число целых решений неравенства |x-1|-3/cosx-2п>0

Приложения:

Ответы

Ответ дал: Аноним
0

≠1, x≠3

((x-1)^2)/((x-1)(x-3)) >= -1

Сокращаем (x-1) и умножаем обе части неравенства на (x-3)

(x-1) >= -(x-3)

2x>=4

x>=2

исключаем 1, 3

остается 2 и 4, т.е 2 целых решения

Вас заинтересует