• Предмет: Физика
  • Автор: Аноним
  • Вопрос задан 3 года назад

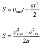
Какую из этих двух формул нахождения пути когда применять?

Приложения:

Ответы

Ответ дал: fatt52
1


Первая, когда известны начальная скорость, ускорение и время движения.

Вторая - когда известны начальная и конечная скорость, и ускорение.(неизвестно время движения).

Отличие во времени движения и конечной скорости.


Аноним: При решении задач, где известно и то, и другое, иногда получаются разные ответы.
fatt52: Всё зависит от условия задачи. ошибка только в вычислениях.
Аноним: В решении задачи было оговорено, что применять такую-то формулу было бы ошибочно, ибо получается другой ответ. Но почему её нельзя применять и почему получается другой ответ - не сказано.
fatt52: Вторая формула связана с законом сохранения энергии, возможно это надо учитывать.
Вас заинтересует