МАТЕМ. АНАЛИЗ. решить интегралы(определенные/неопределенные). ПОЖАЛУЙСТА,до пятницы(12,06,15)
Приложения:
Ответы
Ответ дал:
1
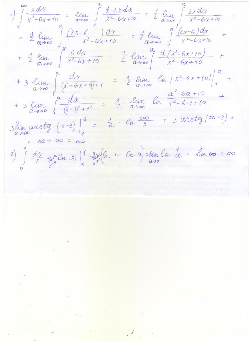
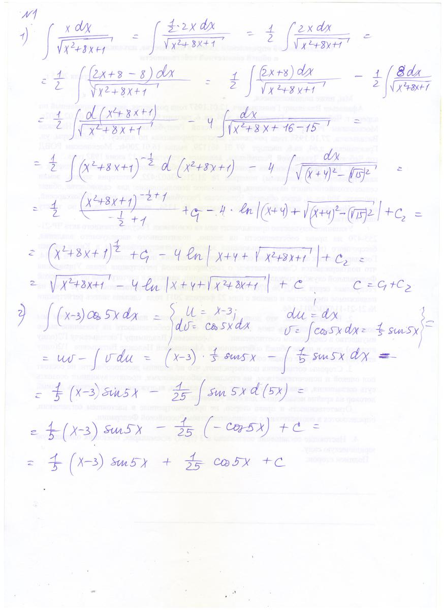
смотри приложенный файл
Приложения:
Вас заинтересует
2 года назад
2 года назад
2 года назад
2 года назад
7 лет назад
7 лет назад
9 лет назад
9 лет назад