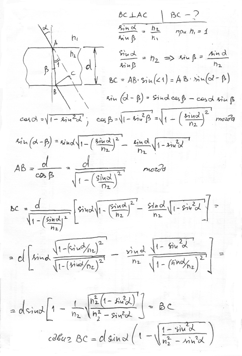
Луч света проходит через плоскопараллельную стеклянную пластинку толщиной 1 см найти смещение луча при угле падения 45?
Ответы
Ответ дал:
2
Сдвиг луча можно найти по формуле сдвиг = d*sinα{1-√((1-sin²α)/(n²-sin²α)). Вывод формулы смотрите во вложении. Подставив известные величины в формулу имеем сдвиг = который найти нельзя, так как не задан показатель преломления стекла для неизвестно какой длины волны луча света.
Приложения:

Вас заинтересует
2 года назад
7 лет назад
8 лет назад