Ответы
Ответ дал:
0
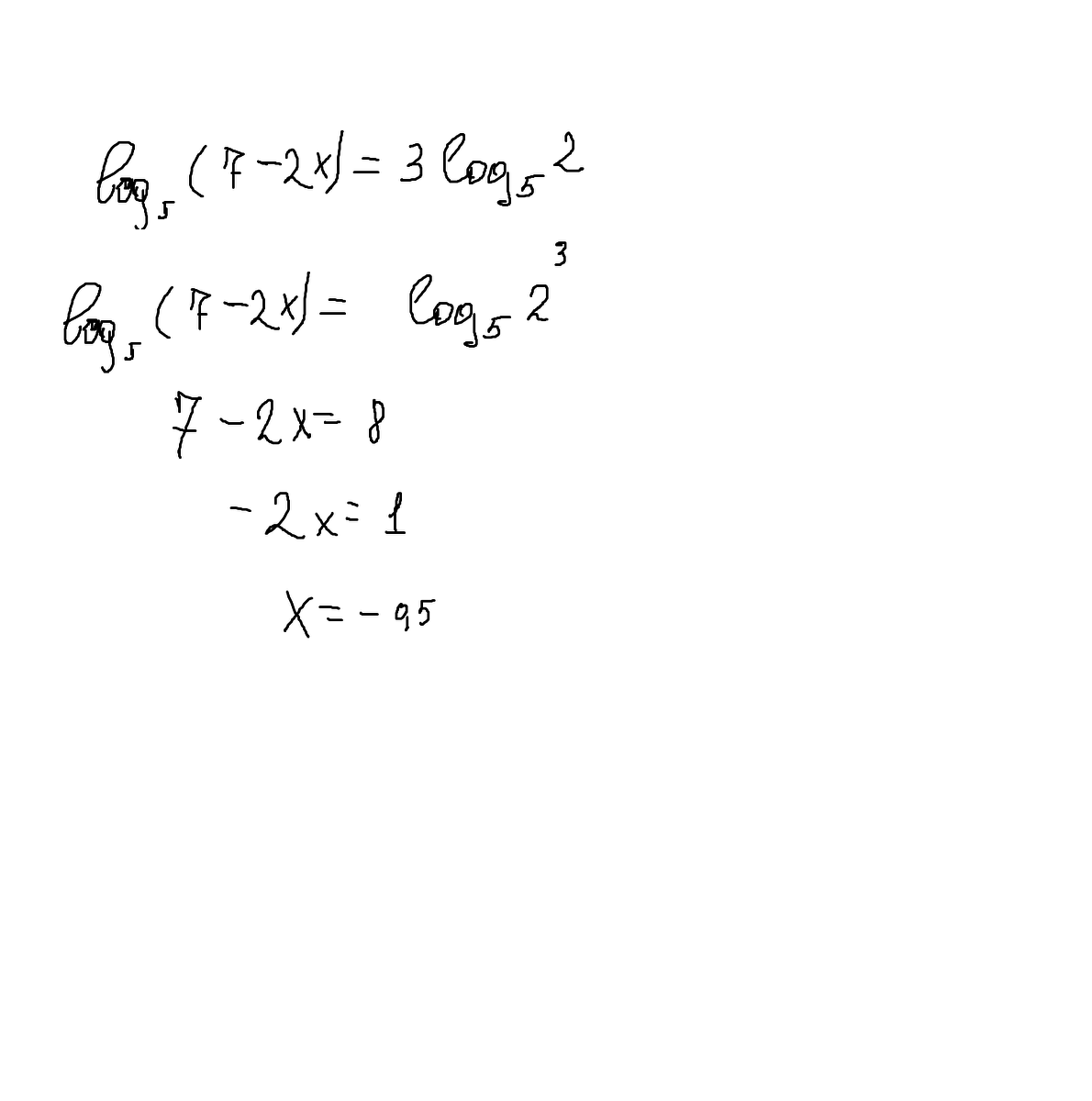
тройка уходит в степень к двойке иполучается восемь, логарифмы отбрасываются
Приложения:

Ответ дал:
0
Получится вот так :)
Приложения:

freyd1899:
я про одз забыл)))
Вас заинтересует
2 года назад
2 года назад
7 лет назад
7 лет назад
8 лет назад