• Предмет: Математика
  • Автор: alyakuprina99
  • Вопрос задан 2 года назад

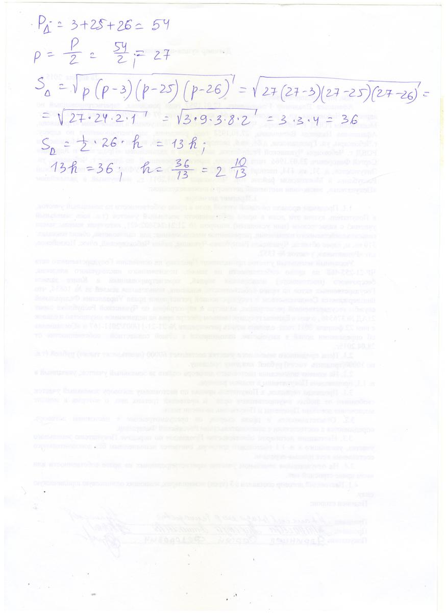
Найти меньшую высоту треугольника,если его стороны равны 3 см,25 см,26м

Ответы

Ответ дал: alfabetta
4
СМОТРИ ПРИЛОЖЕННЫЙ ФАЙЛ
Приложения:
Вас заинтересует