• Предмет: Математика
  • Автор: wangeldeal
  • Вопрос задан 3 года назад

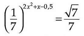
Помогите решить уравнение!

Приложения:

Ответы

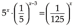
Ответ дал: manyny06
1
решение смотри на фотографии
Приложения:
Вас заинтересует