• Предмет: Математика
  • Автор: Dashenka613
  • Вопрос задан 2 года назад

Помогите решить!прошу!!

Приложения:

Ответы

Ответ дал: alfabetta
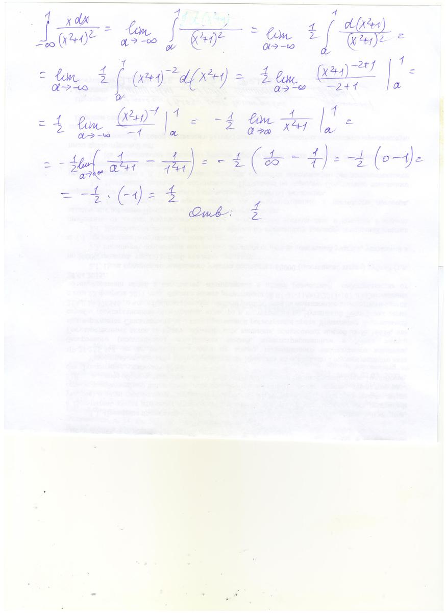
1
смотри приложенный файл
Приложения:
Вас заинтересует