• Предмет: Алгебра
  • Автор: DashaCho
  • Вопрос задан 3 года назад

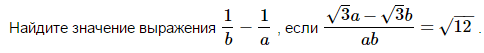
Найдите значение выражения

Приложения:

Ответы

Ответ дал: mukus13
1
 \frac{1}{b} - \frac{1}{a} = \frac{a-b}{ab}

  \frac{ \sqrt{3}(a-b) }{ab} =2 \sqrt{3}
  \frac{(a-b) }{ab} =2
Вас заинтересует