• Предмет: Алгебра
  • Автор: aigerim8111
  • Вопрос задан 3 года назад

найдите область определения функции:

Приложения:

Ответы

Ответ дал: irinan2014
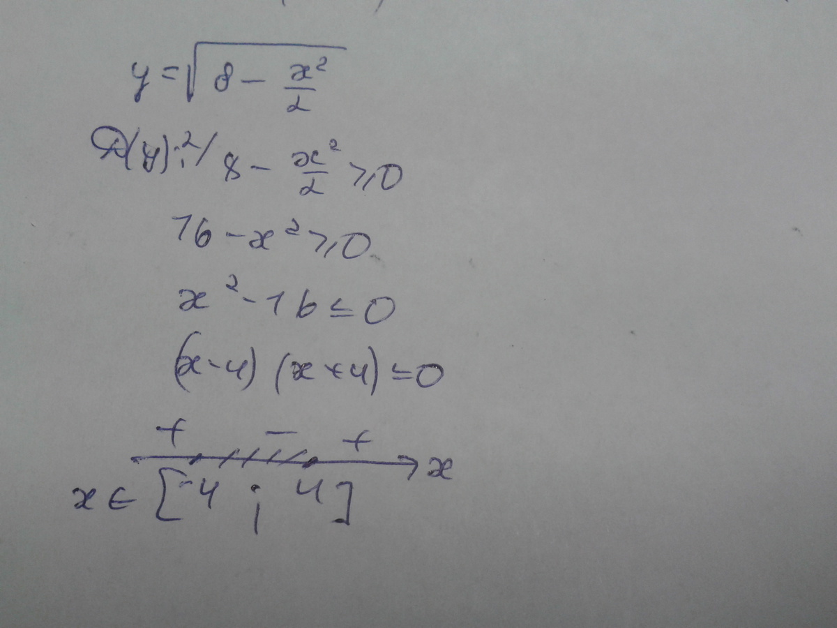
1
Решаем методом интервалов......................
Приложения:
Ответ дал: mukus13
1
8- \frac{x^2}{2}  \geq 0
 \frac{16- x^{2} }{2}  \geq 0
(4-x)(4+x) \geq 0
решаем методом интервалов и получаем 
Ответ: [- 4;4]
Вас заинтересует