• Предмет: Математика
  • Автор: Ali20151
  • Вопрос задан 3 года назад

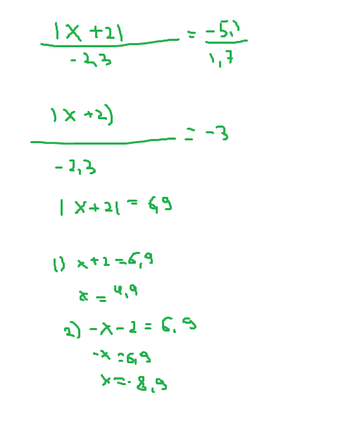
Найдите сумму корней уравнения |x + 2| ÷ -2,3 = -5,1 ÷ 1,7

Ответы

Ответ дал: Ленгит
2
0000000000000000000000
Приложения:

Ali20151: Пас ибо!
Вас заинтересует