• Предмет: Математика
  • Автор: Marinagrebenkova
  • Вопрос задан 11 лет назад

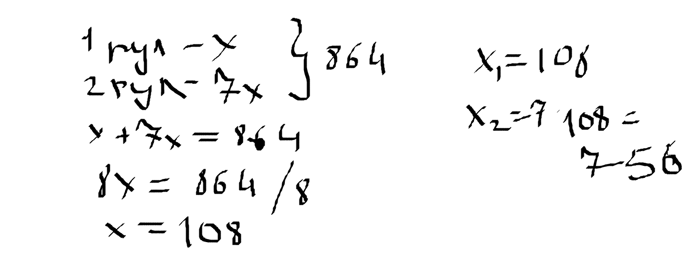
В двух рулонах было 864 м пленки . Сколько пленки было в каждом рулоне, если в одном в 7 раз больше, чем в другом? Сначала начерти схему к задаче

Ответы

Ответ дал: ЗЛАТА243
0
      пусть в 1 рулоне будет  х метров, тогда во 2 -7х. составляем уравнение: х +7х=864     8х=864   х=864:8  х=108 м-в 1 рулоне   7х=7 108=756 м- во 2 рулоне.
Ответ дал: akinkova
0

ответ во вложении...все правильно

Приложения:
Вас заинтересует