• Предмет: Алгебра
  • Автор: Abokkoba
  • Вопрос задан 3 года назад

Помогите пожалуйста!!! Желательно с решением

Приложения:

Ответы

Ответ дал: математик2011
0
Используй свойства логарифмов!
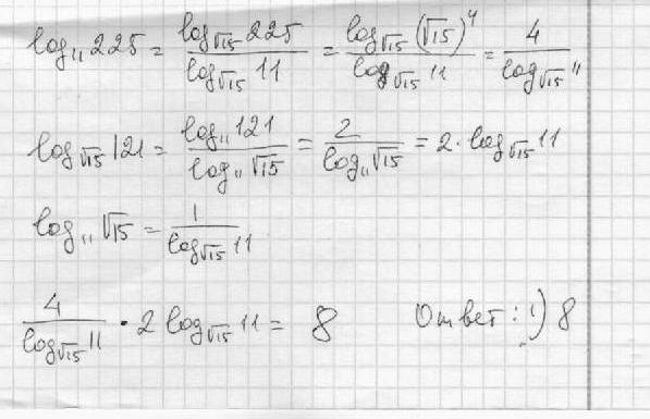
Приложения:
Ответ дал: LFP
0
... = log(11)(15²) * (2 / log(11)(√15) = 2*2*log(11)(15) / (0.5*log(11)(15)) = 8
Вас заинтересует