• Предмет: Алгебра
  • Автор: Sonya1997la
  • Вопрос задан 3 года назад

Помогите
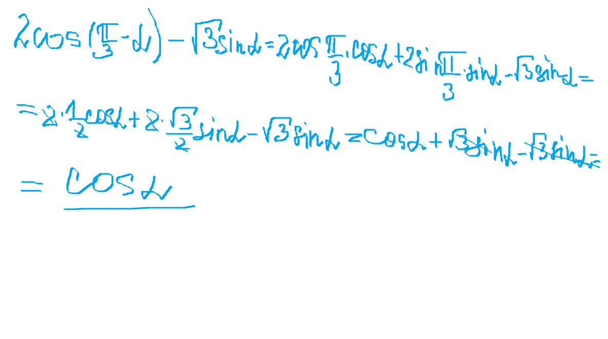
Распишите весь пример

Приложения:

Ответы

Ответ дал: martiemiliya
0
решение во вложении на фото
________________________
ИСПРАВИЛА 
Приложения:

Sonya1997la: с ответом не совпало
Sonya1997la: cos альфа должно получится
djrazor308: Вы 2 потеряли, когда раскрывали косинус разности. Исправьте, пожалуйста.
martiemiliya: если отметили как нарушение,я уже не могу исправить.я знаю,что 2 потеряла
djrazor308: Сейчас напишу, чтобы отправили на исправление. Ждите.
Вас заинтересует