• Предмет: Алгебра
  • Автор: poluna12
  • Вопрос задан 3 года назад

Помогите, забыла какая тема, найти в тетради чтоб решить не могу..

Приложения:

Ответы

Ответ дал: NewLifer
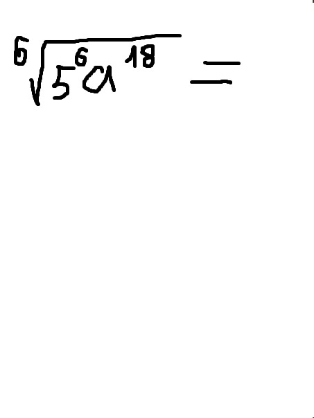
1
 \sqrt[6]{ 5^{6}  a^{18}} =5 a^{3}
Вас заинтересует