• Предмет: Алгебра
  • Автор: asimovaooo
  • Вопрос задан 2 года назад

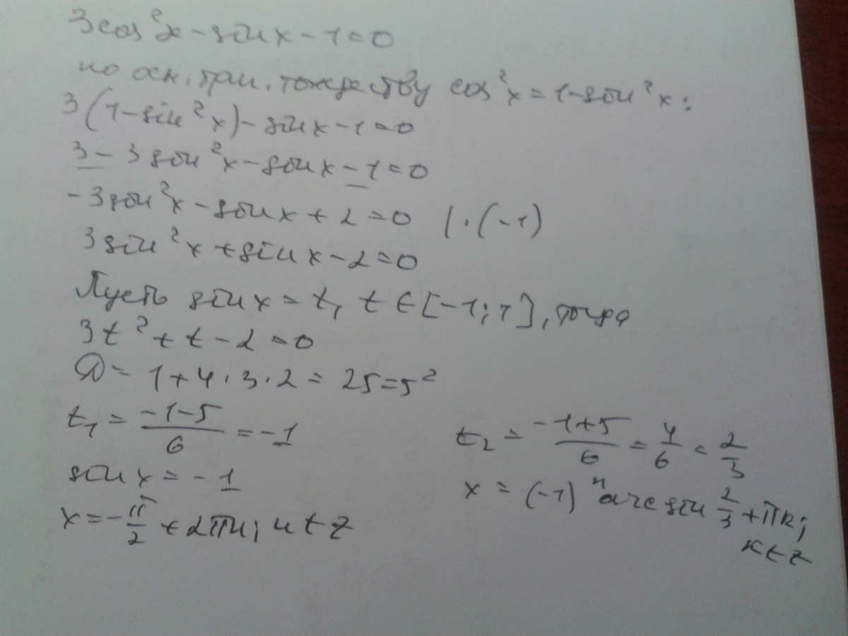
3cos^2x-sinx-1=0 (объясните пожалуйста как это решать)

Ответы

Ответ дал: irinan2014
1
Всё решаем по формулам.................
Приложения:

asimovaooo: Спасибо огромное)
Вас заинтересует