Ответы
Ответ дал:
12
Всё решаем по формулам............
Приложения:

Ответ дал:
5
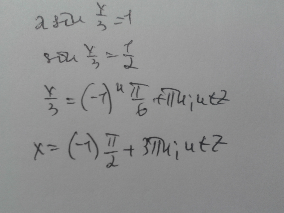
решение смотри на фотографии
Приложения:

Вас заинтересует
2 года назад
2 года назад
2 года назад
7 лет назад
7 лет назад
8 лет назад