Ответы
Ответ дал:
1
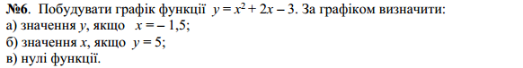
1) Построим график, элементарно по точкам:
смотри 1 рисунок с выбранными мной точками , 2 рисунок с самим графиком функции.
2) а. Дано
. Подставим это значение в уравнение и найдём значение
:

при 
б. Дано
. Подставим это значение в уравнение и найдём значение
:

при
и 
в. Найти нули функции - значит найти те
, при которых
. Подставим
вместо
:

Точки
и
и есть нули функции ( то есть точки пересечения графика с осью
) - это видно по рисунку!)
смотри 1 рисунок с выбранными мной точками , 2 рисунок с самим графиком функции.
2) а. Дано
б. Дано
в. Найти нули функции - значит найти те
Точки
Приложения:


Вас заинтересует
2 года назад
2 года назад
2 года назад
2 года назад
7 лет назад
7 лет назад
8 лет назад