• Предмет: Алгебра
  • Автор: Irkinn
  • Вопрос задан 3 года назад

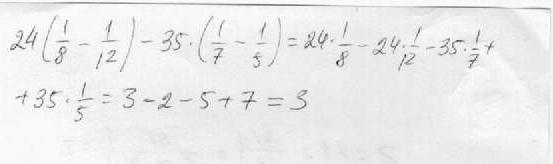
Пожалуйста помогите! Алгебра 7 класс! Заранее Спасибо!!! Я пришлю фото только № 7!
Вычислите значение выражения, используя распределительное свойство умножения :

Приложения:

Ответы

Ответ дал: математик2011
0
Очень плохо видно! Может ошибки в условии!
Приложения:
Вас заинтересует