• Предмет: Математика
  • Автор: vlasklepov
  • Вопрос задан 3 года назад

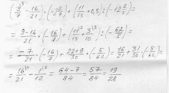
Найдите значение выражений номер 676 2) пример

Приложения:

Ответы

Ответ дал: математик2011
8
Ответ во вложениях*************
Приложения:
Вас заинтересует