• Предмет: Алгебра
  • Автор: nikitka2545
  • Вопрос задан 3 года назад

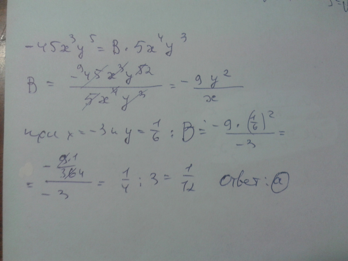
Найдите значение выражения B , если -45x^3y^5 = B * 5x^4y^3 и х = -3 у = 1\6

Приложения:

irinan2014: Пришли фото задания.
nikitka2545: Щас
nikitka2545: Все

Ответы

Ответ дал: irinan2014
4
Всё подробно написала в решении..................
Приложения:

nikitka2545: Спасибо!
Вас заинтересует