• Предмет: Алгебра
  • Автор: fazlieva
  • Вопрос задан 3 года назад

Помогите решить линейное уравнение..

Приложения:

Ответы

Ответ дал: NochnayaArhideya
1

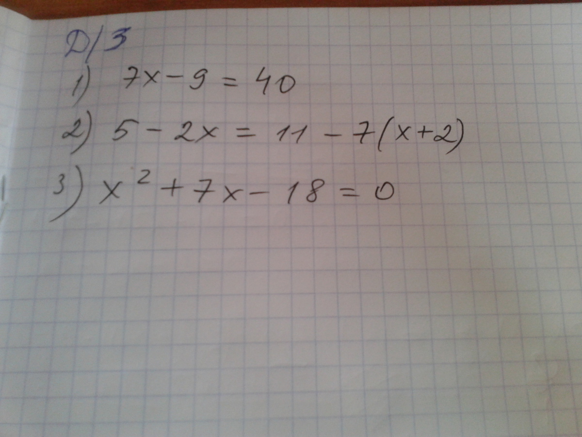
1) 7х-9=40
7х=40+9
7х=49
х=49/7
х=7

2) 5-2х=11-7(х+2)
5-2х=11-7х-14
-2х+7х=11-14-5
5х=-8
х= -1,6

3) х²+7х-18=0
D= 7²-4*1*(-18)= 49+72= 121
D>0,  2 корня
х1= (-7+√121)/2*1= (-7+11)/2= 4/2= 2
х2= (-7-√121)/2*1= (-7-11)/2= -18/2= -9


fazlieva: спасибо
Вас заинтересует