Ответы
Ответ дал:
1
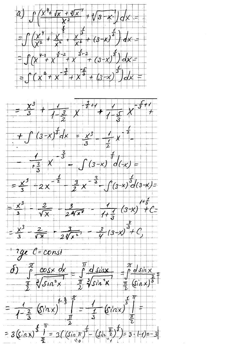
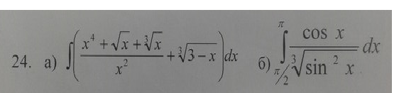
Решение в приложении.
Приложения:

Вас заинтересует
2 года назад
2 года назад
2 года назад
7 лет назад
7 лет назад
9 лет назад