• Предмет: Математика
  • Автор: Kaleso
  • Вопрос задан 3 года назад

ТЕКСТОВАЯ ЗАДАЧА, ПОМОГИТЕ!!!
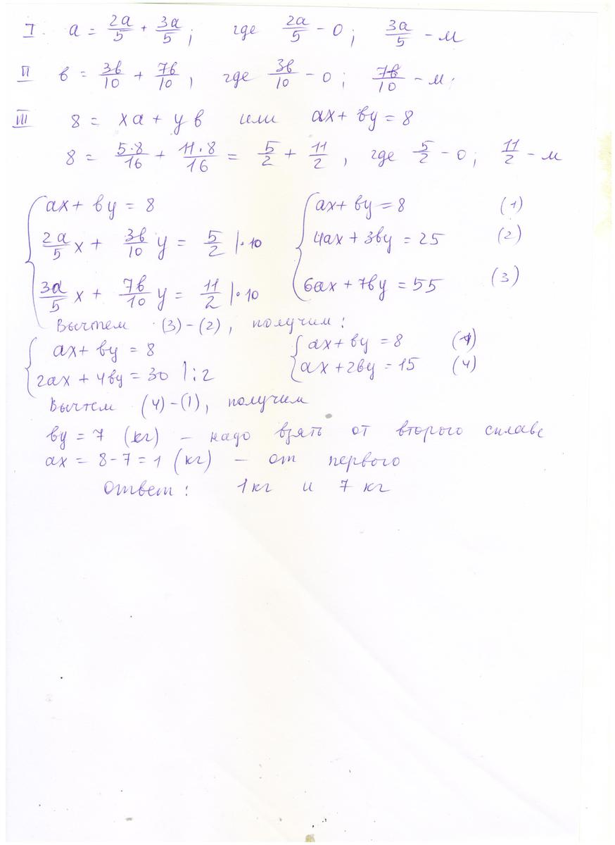
Один сплав содержит олово и медь в соотношении 2:3, другой - в соотношении 3:7. Сколько килограммов нужно взять от каждого сплава, чтобы получить 8 кг нового сплава, в котором олово и медь были бы в соотношении 5:11?

Ответы

Ответ дал: alfabetta
1
смотри приложенный файл
Приложения:
Вас заинтересует