• Предмет: Математика
  • Автор: sanieskirilov
  • Вопрос задан 3 года назад

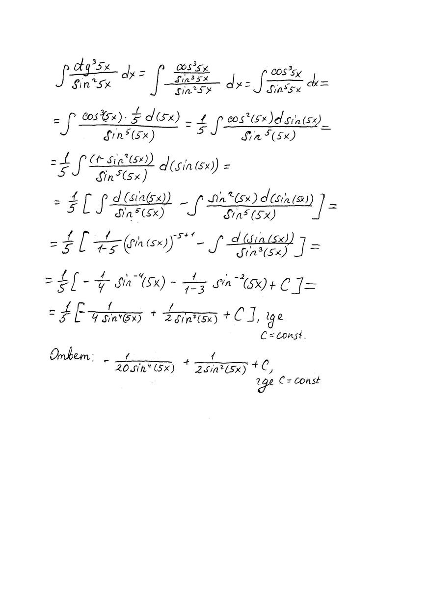
интеграл (ctg^3(5x))/(sin^2(5x))*dx

Ответы

Ответ дал: bearcab
1
решение в приложении
Приложения:
Вас заинтересует