• Предмет: Алгебра
  • Автор: andganenko
  • Вопрос задан 3 года назад

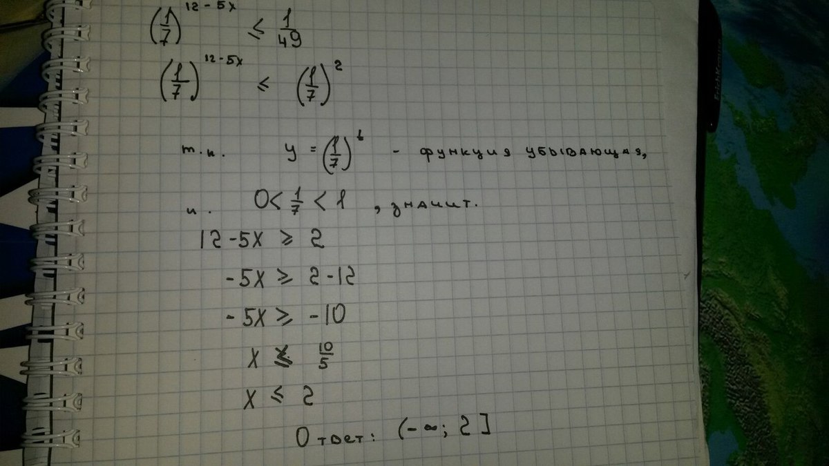
Решите неравенство

  (\frac{1}{7} )^{12-5x}  \leq  \frac{1}{49}

Ответы

Ответ дал: DayLong
1
Решение во вложении))
Приложения:

andganenko: Извините 3 строчка сверху, в какой степени?
DayLong: в степени t
andganenko: спасибо
andganenko: Почерк, кстати, у вас красивый.
Вас заинтересует