Задание 1.
Вопрос состоит в том, что делать с условием: "найдите значение а, при а принадлежащем [3;4]"
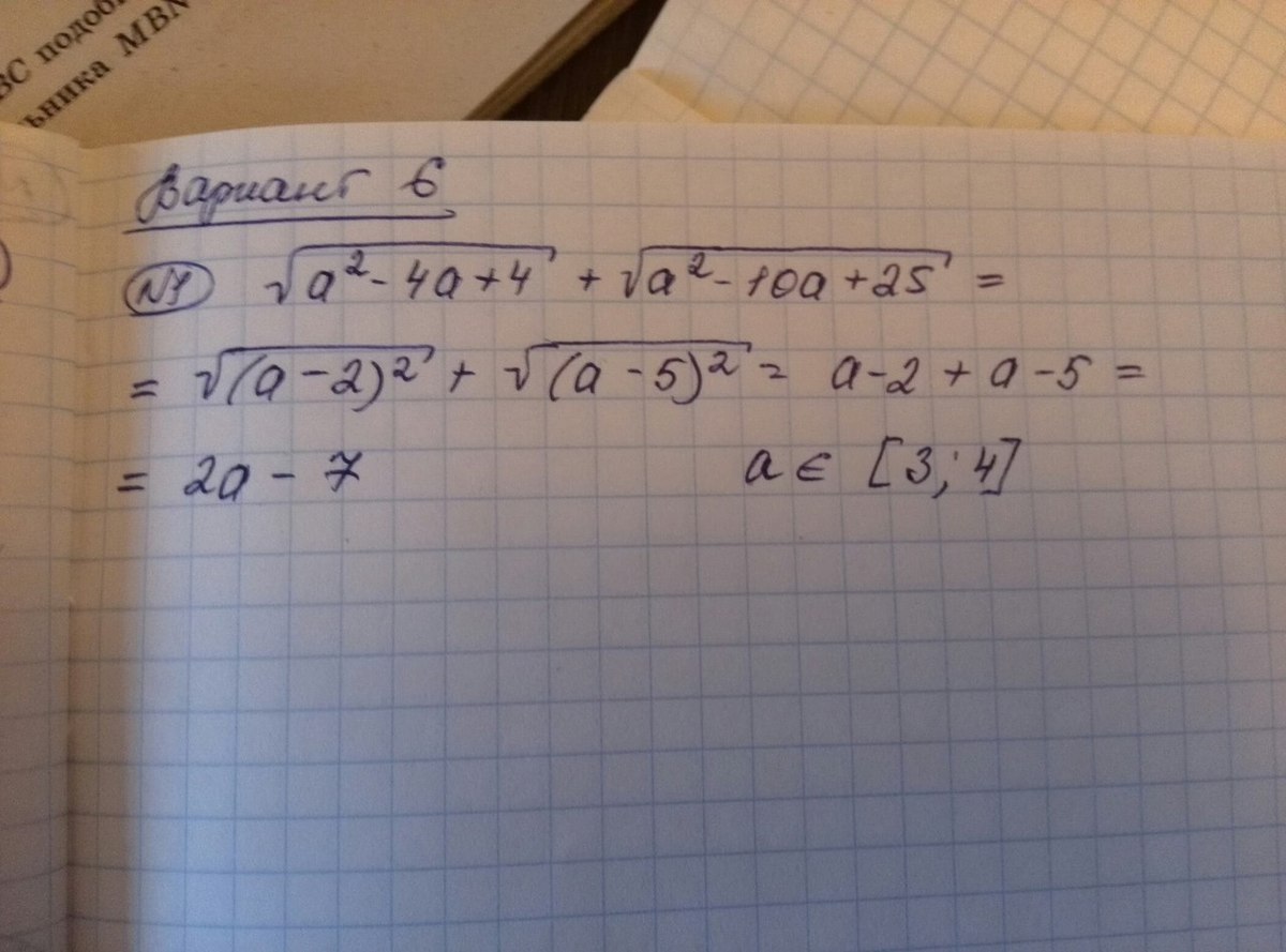
Второе фото - место с которого я не знаю, что делать.
Ответ уже известен: 3
Мне нужно решение только с объяснением. Подскажите, пожалуйста!
Приложения:
Ответы
Ответ дал:
1
Можно сделать так:
√(a²-4a+4) + √(a²-10a+25) =√(a-2)² + √(a-5)²
а∈[3; 4]
1) а=3
√(3-2)² + √(3-5)²=
=√1 + √4 =1+2=3
2) а=4
√(4-2)² + √(4-5)² = 2 + 1=3
Вообще √х² = |x|.
Поэтому √(а-2)² + √(а-5)² =|a-2|+|a-5|
При а=3 |3-2|+|3-5|=|1|+|-2|=1+2=3
При а=4 |4-2|+|4-5|=|2|+|-1|=2+1=3
√(a²-4a+4) + √(a²-10a+25) =√(a-2)² + √(a-5)²
а∈[3; 4]
1) а=3
√(3-2)² + √(3-5)²=
=√1 + √4 =1+2=3
2) а=4
√(4-2)² + √(4-5)² = 2 + 1=3
Вообще √х² = |x|.
Поэтому √(а-2)² + √(а-5)² =|a-2|+|a-5|
При а=3 |3-2|+|3-5|=|1|+|-2|=1+2=3
При а=4 |4-2|+|4-5|=|2|+|-1|=2+1=3
NiciR:
Спасибо большое) Вот я тупанула...
Вас заинтересует
2 года назад
7 лет назад
9 лет назад