Ответы
Ответ дал:
1
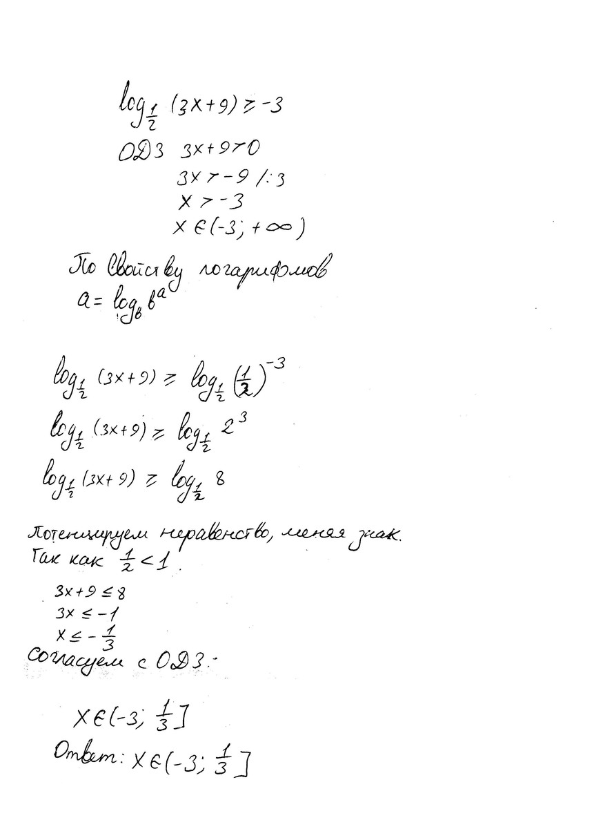
Решение в приложении
Приложения:

chpokny:
спасибо,как раз сегодня сдавать
Вас заинтересует
2 года назад
2 года назад
2 года назад
2 года назад
7 лет назад
7 лет назад
8 лет назад
8 лет назад