• Предмет: Математика
  • Автор: debianrules
  • Вопрос задан 2 года назад

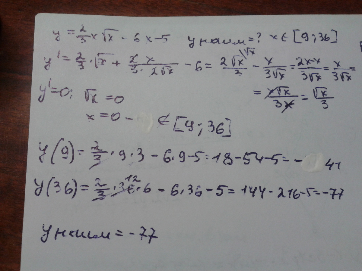
Найдите наименьшее значение функции y= \frac{2}{3} x \sqrt{x} -6x-5 на отрезке [9;36]

Ответы

Ответ дал: irinan2014
3
Всё подробно написала в решении...........................
Приложения:
Вас заинтересует