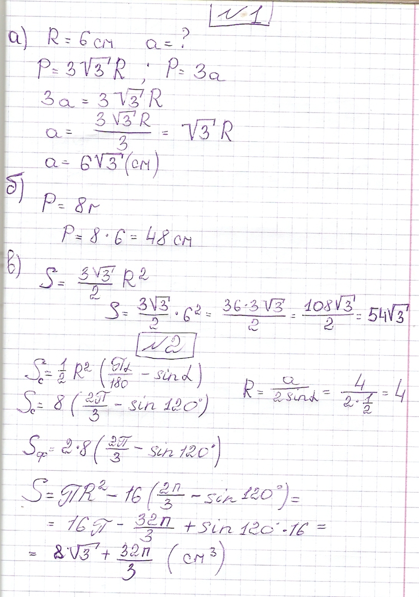
#1) Дана окружность радиуса 6 см .Найдите: а)сторону правильного вписанного треугольника б)периметр правильного описанного четырёхугольника в)площадь правильного вписанного шестиугольника №2)В круге из одной точки окружности проведены две хорды,составляющие угол 120 градусов.Найдите площадь части круга,заключенной между ними,если длина каждой хорды равна 4 см №3)Две окружности,радиусы которых равны 4 корня из 2,имеют общую хорду длиной 8 см.Найдите периметр ограниченной этими окружностями фигуры и расстояние между центрами окружностей.
Приложения:

Ответы
Ответ дал:
0
Вроде так. Рисунок красиво нарисуй только) Карандашом)
Приложения:


Вас заинтересует
2 года назад
8 лет назад
8 лет назад
10 лет назад
10 лет назад
10 лет назад