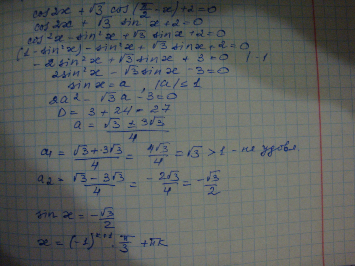
А)Решите уравнение
cos2x+√3 cos(п/2-x)+2=0
Б)Найдите все корни уравнения принадлежащие промежутку {-3п;-2/3п}
Ответы
Ответ дал:
0
решение во вложениииииииииииииииииииииии
Приложения:

Вас заинтересует
2 года назад
2 года назад
2 года назад
2 года назад
7 лет назад
7 лет назад
8 лет назад
8 лет назад