• Предмет: Алгебра
  • Автор: bomelchenko56
  • Вопрос задан 3 года назад

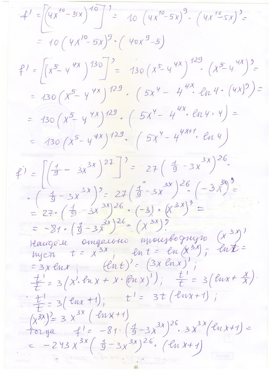
найдите производную функции
f(X)=(4x^10-5x)^10
fx()=(x^5-4^4x)^130
f(x)-(1/9-3x^3x)^27

Ответы

Ответ дал: alfabetta
1
смотри приложенный файл
Приложения:
Ответ дал: mukus13
7
f(x)= (4 x^{10} -5x)^{10}
f'(x)=( (4 x^{10} -5x)^{10} )'=10* (4 x^{10} -5x)^{9} * (4 x^{10} -5x)'=10* (4 x^{10} -5x)^{9} *(40x^9-5)= (4 x^{10} -5x)^{9} *(400x^9-50)

f(x)=( x^{5} - 4^{4x} )^{130}
f'(x)=(( x^{5} - 4^{4x} )^{130})'=130*( x^{5} - 4^{4x} )^{129}*( x^{5} - 4^{4x} )'=130*( x^{5} - 4^{4x} )^{129}*(5x^4-4^x*ln4*4)=( x^{5} - 4^{4x} )^{129}*(650x^4-520*4^x*ln4)

f(x)= ( \frac{1}9}-3 x^{3x}  )^{27}
f'(x)=( ( \frac{1}9}-3 x^{3x}  )^{27} )'=27* ( \frac{1}9}-3 x^{3x}  )^{26} *( \frac{1}9}-3 x^{3x}  )'=27* ( \frac{1}9}-3 x^{3x}  )^{26} *(-( 3x^{3x} *3ln(3x)+3x* \frac{3}{3x}) )=27* ( \frac{1}9}-3 x^{3x}  )^{26} *(-( 9x^{3x} *ln(3x)+3}) )
Вас заинтересует