• Предмет: Алгебра
  • Автор: imthepussyslayer
  • Вопрос задан 3 года назад

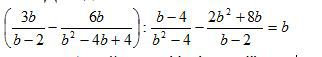
Докажите тождество которое на картинке

Приложения:

Ответы

Ответ дал: inblu
1
(\frac{3b}{b-2}- \frac{6b}{(b-2)^2}): \frac{b-4}{b^2-4}- \frac{2b^2+8b}{b-2}= \frac{3b(b-2)-6b}{(b-2)^2}: \frac{b-4}{b^2-4}- \frac{2b^2+8b}{b-2}= \\ =\frac{3b^2-12b}{(b-2)^2}* \frac{b^2-4}{b-4}- \frac{2b^2+8b}{b-2}=\frac{3b(b-4)}{(b-2)^2}* \frac{(b-2)(b+2)}{b-4}- \frac{2b^2+8b}{b-2}= \\ =\frac{3b(b+2)}{b-2}- \frac{2b^2+8b}{b-2}= \frac{3b^2+6b-2b^2-8b}{b-2}= \frac{b^2-2b}{b-2}= \frac{b(b-2)}{b-2}=b \\ b=b
Вас заинтересует