Ответы
Ответ дал:
2
Ответ дал:
1
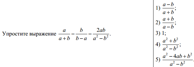
Смотреть во вложении
Приложения:


Вас заинтересует
2 года назад
2 года назад
2 года назад
7 лет назад
7 лет назад
8 лет назад