1) Вычислите массовую долю растворенного вещества в 3 М растворе карбоната натрия (плостность 1,15 г/мл)
2) Определите концентрацию ионов (моль/л) в водном растворе 0,03 М дихлорида олова
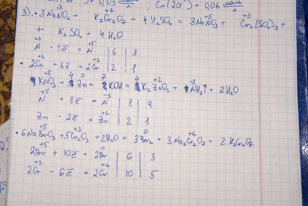
3) Закончите уравнение реакции, расставив коэффициенты методом электронно-ионного (или электронного) баланса:
в кислой среде - NaNO2 + K2Cr2O7 + H2SO4 = NaNO3 + Cr2(SO4)3 + K2SO4 + H2O
в щелочной среде - KNO3 + Zn + KOH = K2ZnO2 + NH3 + H2O
в нейтральной среде - NaBrO3 + Cr2O3 + H2O =Br2 + Na2Cr2O7 + H2Cr2O7
4) Составьте уравнение реакции, расставив коэффициенты методом электронно-ионного (или электронного) баланса: Ba и H2SO4 (разб.)
svin99:
многовато
Ответы
Ответ дал:
1
Решение на фото. На счет первых двух не уверена до конца.
Приложения:



Вас заинтересует
2 года назад
2 года назад
2 года назад
2 года назад
7 лет назад
8 лет назад
8 лет назад