• Предмет: Алгебра
  • Автор: artur000015
  • Вопрос задан 3 года назад

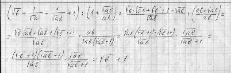
35 Баллов,помогите пожалуйста легкое задание,заранее спасибо!



ПОЛНОЕ решение пожалуйста!Спасибо

Приложения:

Ответы

Ответ дал: математик2011
1
Надеюсь, что полное решение!!!!
Приложения:

artur000015: а как вы внесли корень из ab в скобку с (корень из b+1)
artur000015: спасибо !
математик2011: это в какой строке?
Ответ дал: Аноним
0
Смотреть во вложении
Приложения:
Вас заинтересует