• Предмет: Математика
  • Автор: epovski
  • Вопрос задан 3 года назад

Добрый день. Помогите решить задачку

Приложения:

Ответы

Ответ дал: alfabetta
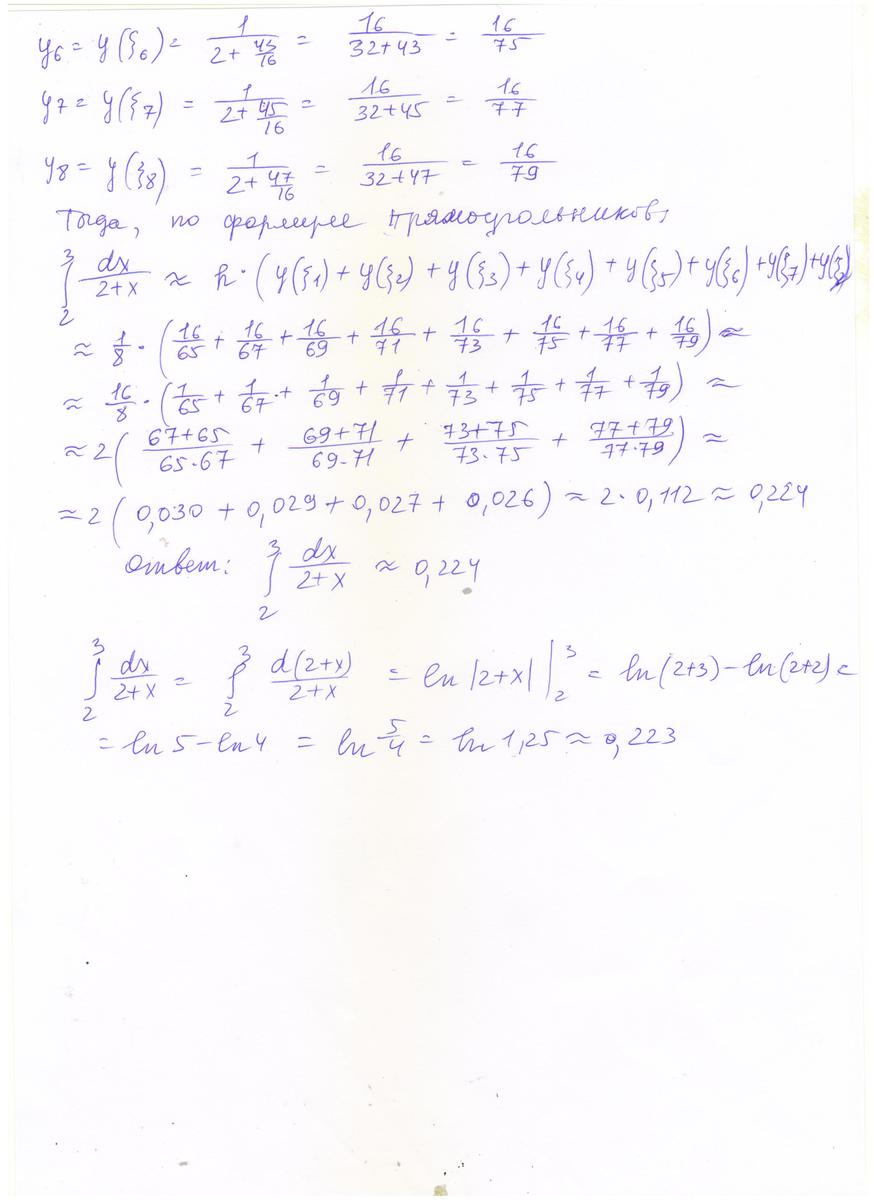
1
смотри приложенный файл
Приложения:
Вас заинтересует