• Предмет: Алгебра
  • Автор: verzilina97
  • Вопрос задан 3 года назад

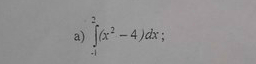
Найдите определенный интеграл

Приложения:

Ответы

Ответ дал: manyny06
0
решение смотри на фотографии
Приложения:
Вас заинтересует