• Предмет: Химия
  • Автор: realeezz1
  • Вопрос задан 3 года назад

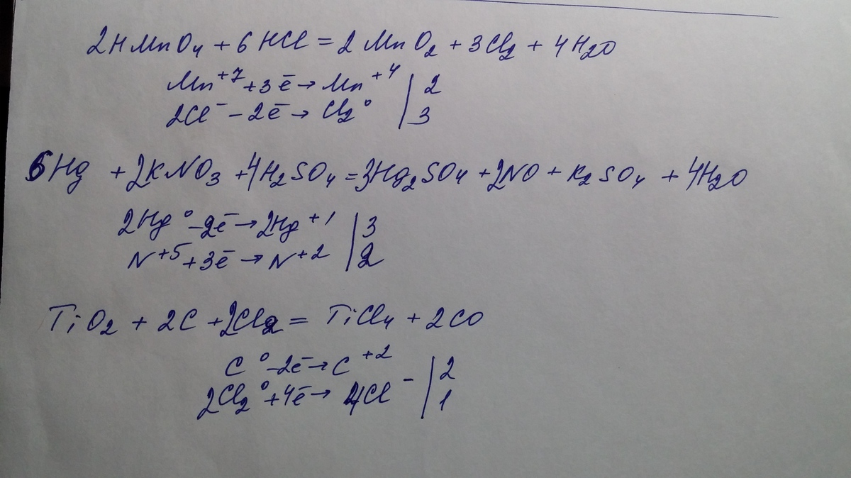
Помогите составить овр
TiO2+C+Cl2=TiCl4+CCl4O
HMnO4+HCl=MnO2+Cl2+H2O
Hg+KNO3+H2SO4=Hg2SO4+NO+H2O+K2SO4

Ответы

Ответ дал: химозина
2
 В первом уравнении явно проблема с продуктом  
Приложения:
Вас заинтересует