Ответы
Ответ дал:
1
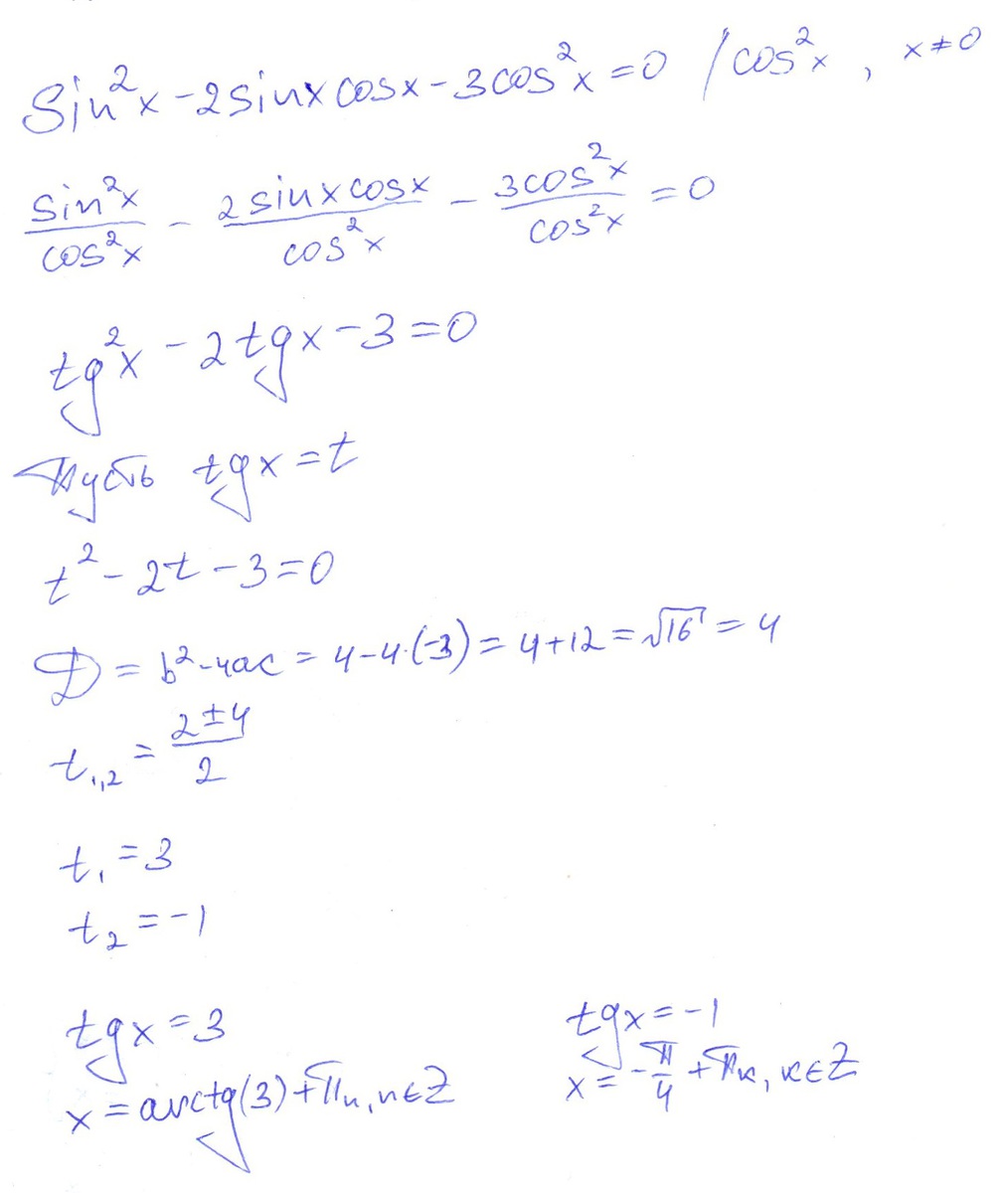
Решение на фото.....
Приложения:

Fshdhahj188:
От души
Вас заинтересует
2 года назад
2 года назад
7 лет назад
7 лет назад
8 лет назад