• Предмет: Математика
  • Автор: kyuj
  • Вопрос задан 3 года назад

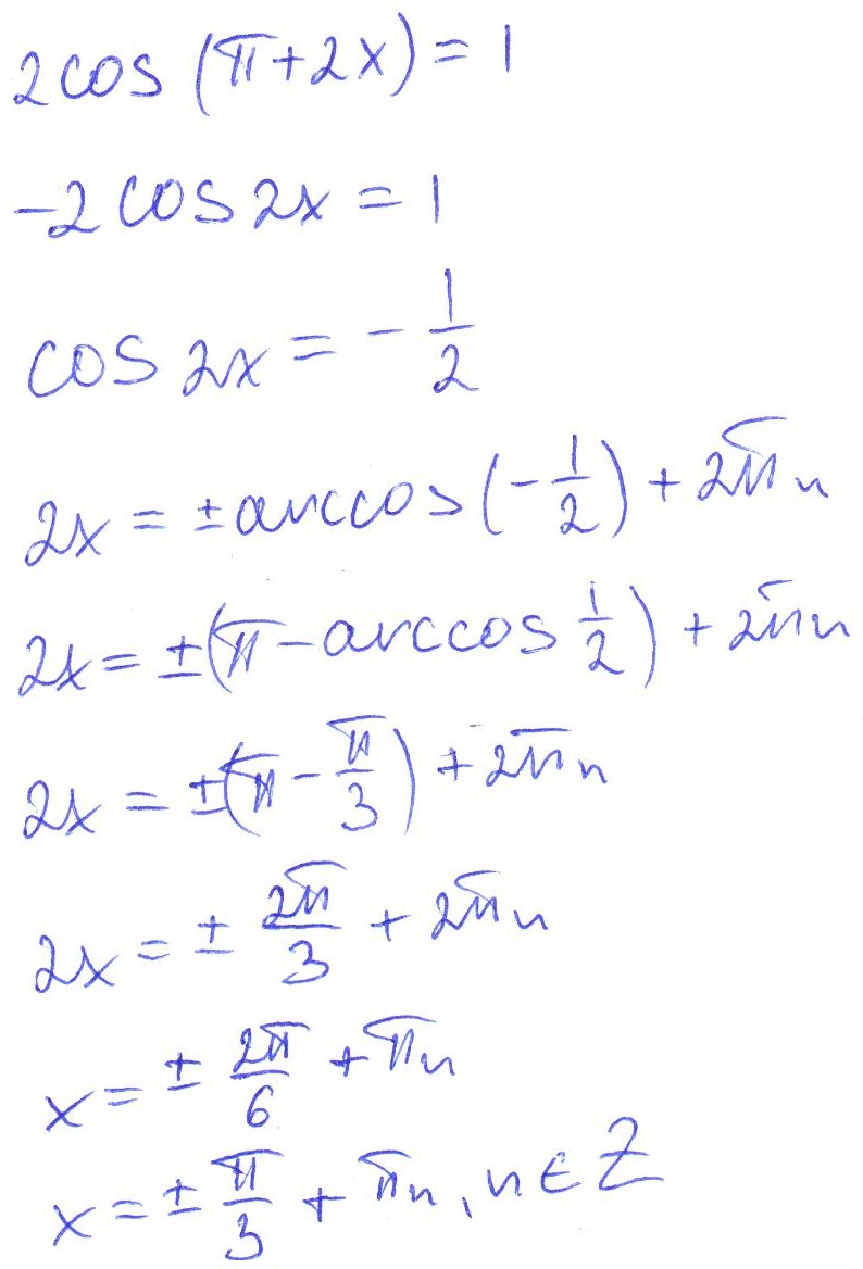
решите уравнение 2cos(П+2x)=1

Ответы

Ответ дал: NiGhtWolFs
8
Решение на фото.....
Приложения:
Вас заинтересует