• Предмет: Математика
  • Автор: anytarur
  • Вопрос задан 3 года назад

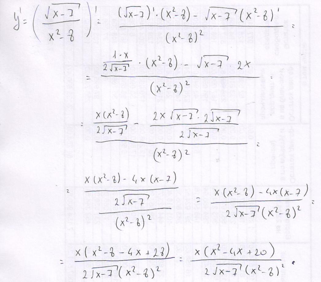
Вычислить производную

Приложения:

Ответы

Ответ дал: ewgenijbark
0
см. вложение
=================
Приложения:
Вас заинтересует